Austrijos mokslininkams pirmą kartą pavyko pagaminti stabilią egzotiškos formos anglies pluoštą – karbiną, kuris yra 40 kartų tvirtesnis nei deimantas.
Tai paskelbta „Nature Materials“ žurnale.
Mokslininkai jau prieš keletą metų teoriškai apskaičiavo, kad karbinas tvirtumu turi pranokti visas žinomas medžiagas.
Tačiau jo gamyba susidūrė su rimtais sunkumais – karabiną sudaro ilga anglies atomų grandinė, kuri sutrūkdavo jau gamybos metu.
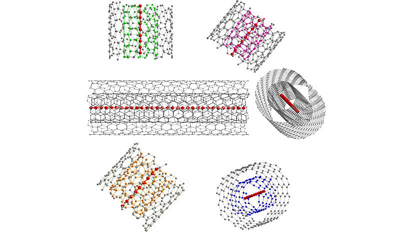
Norėdami išspręsti šią problemą, fizikai iš Vienos universiteto, dėdami vieną grafeno sluoksnį ant kito ir juos susukdami pagamino grafeno nanovamzdelį, tarsi kokoną, ir šio apsauginio apvalkalo viduje susintetino karbiną – vienmatę 6400 atomų ilgio anglies grandinę. Ankstesnis rekordas buvo tik 100 atomų.
Fizikai ne tik pasiekė, kad grandinė išliktų stabili, bet ir nustatė, kad jos elektrinės savybės priklauso nuo grandinės ilgio. Tačiau dar reikia sukurti technologiją, kuri leistų išimti karbino grandinę iš grafeno apvalkalo, jos nepažeidžiant. Kol kas, pasinaudojant grandinės stabilumu, ji tyrinėjama grafeno kokone.
Karabinas yra viena iš mažiausiai ištirtų alotropinių anglies atmainų. Viso yra žinomos aštuonios anglies alotropinės atmainos: amorfinė anglis, grafitas, deimantas, anglies nanovamzdeliai, fulerenas ir karbinas.
Karbino egzistavimą teoriškai numatė ir jo gamybos būdą aprašė keli Rusijos chemikai dar 1967 metais, tačiau šios medžiagos tyrimus apsunkino gamybos sudėtingumas. Įdomu, kad šią medžiagą pavyko aptikti tarpžvaigždinėje erdvėje.
Tačiau iki šiol nėra aišku, ar gali pavykti pagaminti pakankamai ilgas karbino grandines, kurios tiktų praktiniams pritaikymams.
Mokslininkai tikisi, kad karbinas dėl savo įdomių elektrinių ir magnetinių savybių būtų tinkama medžiaga naujos kartos nanoelektronikos ir kvantinės elektronikos prietaisams.

Unraveling truly one dimensional carbon solids
